13/05/2026
Σαμιακά

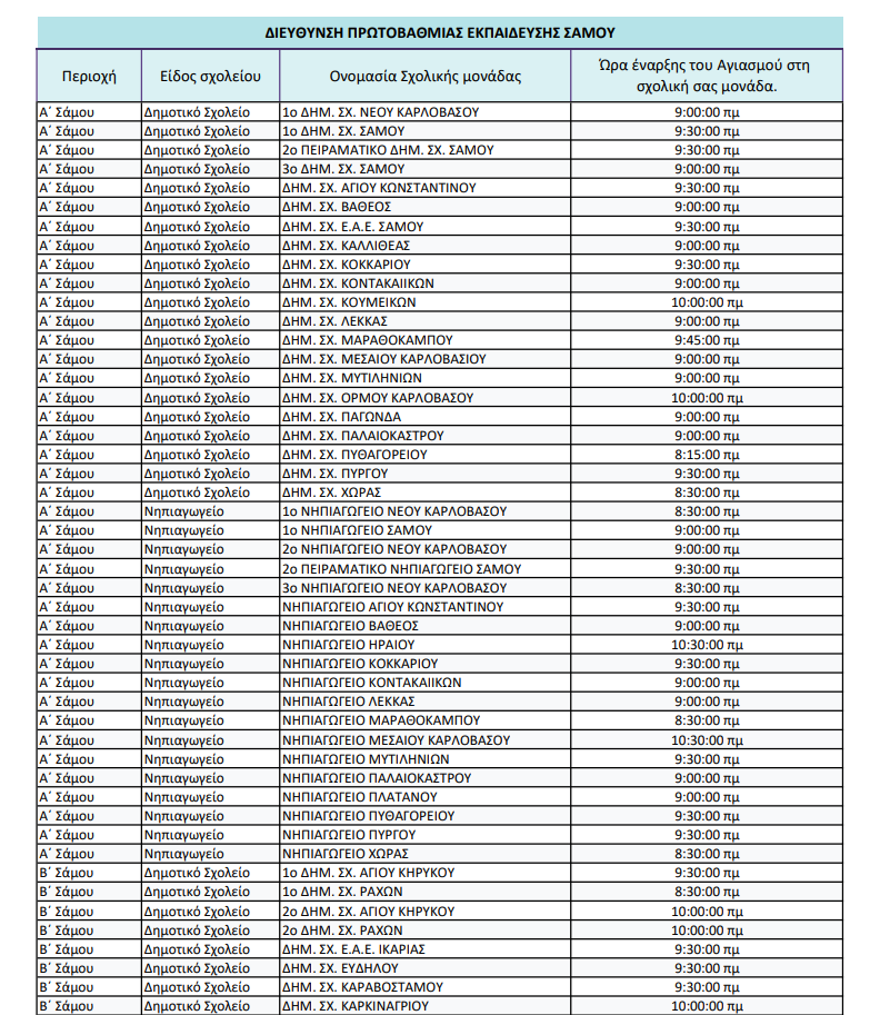
Πότε θα γίνει ο Αγιασμός σε δημοτικά και νηπιαγωγεία Σάμου – Όλο το πρόγραμμα

Η Διεύθυνση Πρωτοβάθμιας Εκπαίδευσης Σάμου έδωσε στη δημοσιότητα το αναλυτικό πρόγραμμα με τις ώρες τέλεσης του Αγιασμού για τη νέα σχολική χρονιά 2025-2026 σε όλα τα δημοτικά σχολεία και νηπιαγωγεία του νομού.

 

G≡ Ακολουθήστε μας στο Google News Προσθήκη στο Google News

Διαβάστε Επίσης

ΕΣΗΕΠΗΝ «Απαράδεκτη απόπειρα φίμωσης» – στο εδώλιο δημοσιογράφοι του stonisi.gr

Πέντε προφυλακιστέοι για το κύκλωμα ναρκωτικών στη Σάμο – η διαδικασία συνεχίζεται αύριο

Σύλλογος Εργαζομένων Νοσοκομείου Σάμου: Απεργία την Τετάρτη για μισθούς και προσλήψεις

Δωρεάν σπιρομετρήσεις στο Καρλόβασι την Πέμπτη – μόνο με ραντεβού

Μαθητές από την Ικαρία επισκέφθηκαν το Εκκλησιαστικό και Βυζαντινό Μουσείο Σάμου

Σύλλογος Δασκάλων Σάμου: Ποντίκια και περιττώματα στο Ειδικό Σχολείο